
続けてPlayStation 5の拡張SSDとしてのパフォーマンスをチェックしてみよう。ここでは旧モデルであるCFI-1000番台を使っているが、使用できるNVMe M.2 SSDの要件は新旧モデルで違いはない。また「TM8FPW008T0C101」には超薄型ヒートシンクが装着済みだが、念のためPlayStation 5向けのヒートシンクを別途用意し取り付けている。
|
|
| 1,000円前後で購入できるM.2ヒートシンクを取り付け、旧モデルのPlayStation 5に増設 | 起動時に問題なく拡張M.2 SSDとして「TM8FPW008T0C101」を認識 |
|
|
| フォーマット後のテストでは、読込6,105MB/sをマークした | ストレージで確認すると「TEAM TM8FPW008T0C101」、容量8.01TBとして認識した |
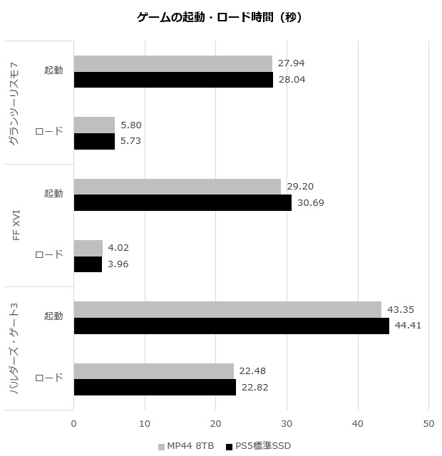
PlayStation 5に増設した容量8TBの「TM8FPW008T0C101」に、プレイ時間の制限のある体験版ながら最新ゲームタイトルの「バルダーズ・ゲート」に、「ファイナルファンタジー XVI」と「グランツーリスモ7」を移動。標準SSDとゲームの起動時間とロード時間をチェックした。計測はストップウォッチを使用し、3つのタイトルを計測するごとにPS5を再起動。5回計測を行い、最も速かった値と遅かった値を除いた数値から平均値を求めている。

3つのゲームタイトルで試したものの、読込テストで6,000MB/sの高パフォーマンスを出しているとあって、標準SSDとローディング時間に大きな差はみられなかった。さすがに容量8TBをPlayStation 5に増設する人は少ないかと思われるが、安心して使用できる事は確認できた。 ちなみに、せっかく加入しているPlayStation Plus プレミアムプランなので、目に付いたPS5対応ゲームなどを18タイトルほどインストール。それでも残容量は6.94TBだった。占有する容量はゲームタイトルでマチマチだが、8TBなら100本近くのゲームをインストールできる計算だ。
|
| 気がつくと枯渇している本体ストレージ。新モデルでは容量が1TBになっているが、それでも圧迫することに変わりはない |
|
| PlayStation Plus プレミアムプランで楽しめるタイトルを思うままにインストール。気が向いたときに、ダウンロードせずに即プレイできる |
|
| 18タイトルをインストールしても、残り容量は約7TB。8TBあればPS4のコレクションを含め、所有ゲームのすべてをインストールできるかも |
Team「MP44」シリーズの容量8TBモデルとなる「TM8FPW008T0C101」を触ってみたが、PCI Express 4.0(x4)インターフェイスの限界性能に近いアクセス速度を発揮し、負荷時も70℃台と不安を覚えない温度だった。貴重な容量8TBのNVMe M.2 SSDになるが、家族みんなの写真をはじめ、フルサイズデジタル一眼で撮り溜めたRAWデータや、編集前と編集後の動画を保存するなど、さまざまなデータの保存先に不安なく使えるだろう。

一方価格面では4TB「TM8FPW004T0C101」を2枚買った方が安価だが、1つのストレージですべてのデータを保存、管理したい!という人にとっては、十分に存在価値はあるだろう。
協力:株式会社TEAMジャパン